- カテゴリ
まずは、前回の数学(微分法・積分法)の解説から!
前回の問題 数学(微分法・積分法)
<問題>
|
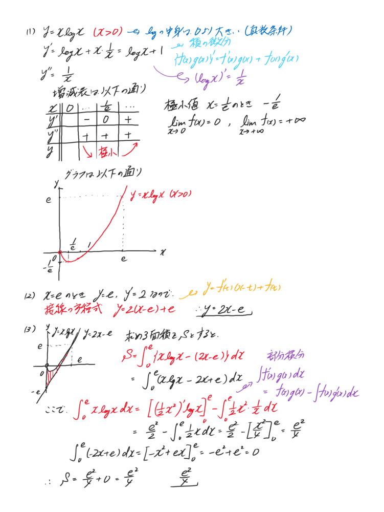
関数y=xlogx (x>0)において (1)グラフの増減、凹凸、極値、変曲点を調べ、グラフの概形を描け。ただし、この関数のx→+0の極限は0であることを用いても良い。 (2)y=logx上の点(e,e)における接線の方程式を求めよ。 (3)関数y=xlogx (x>0)と(2)の接線、y軸とで囲まれた部分の面積を求めよ。 |
<ヒント>
(1)増減表を描きましょう。(3)部分積分を利用しましょう。
<解答>
部分積分のときは、符号に注意しながら行って下さいね。
今週の問題 数学(微分法・積分法)
<問題>
| 関数y=e-xsinx (0≤x≤2π)とx軸とで囲まれた部分の面積を求めよ。 |
<ヒント>
まずは不定積分を2回部分積分をすることで求めましょう。
学習や進路に対する質問等は、お気軽に問い合わせフォームからどうぞ。お待ちしています。
お問い合わせはこちら


