- カテゴリ
まずは、前回の化学(有機化学)の解説から!
前回の問題 化学(有機化学)
<問題>
|
分子式C10H11NO3の化合物Aがある。化合物Aを塩酸と加熱し、加水分解させると2種類の化合物BとCが得られる。Bは反応水溶液からジエチルエーテルで抽出され、Bはこのジエチルエーテル溶液から炭酸水素ナトリウム水溶液で抽出される。又、Bは炭素、水素、酸素から構成され、元素分析の結果、C=68.9%、H=4.9%が得られた。Cは不斉炭素原子をもち、光学異性体が存在する。 以上からA,B,Cの構造式を記せ。 |
<ヒント>
Bはカルボン酸で、CはAの塩酸による加水分解でエーテル層に抽出されない、すなわち水槽に存在することになるので、塩基性の物質であることがわかる。そこから考えてみて下さい。
<解答>
水層に存在するときは、塩の状態であることに注意して下さいね。
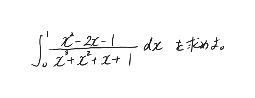
今週の問題 数学(積分法)
<問題>
<ヒント>
分母を因数分解して、部分分数又は分子の次数下げを考えましょう。
学習や進路に対する質問等は、お気軽に問い合わせフォームからどうぞ。お待ちしています。
お問い合わせはこちら



