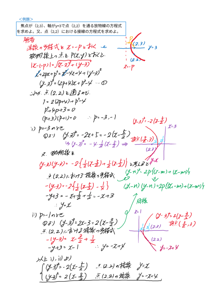
ツイート 2026年2月24日 カテゴリ ぽんすけの「数物化の公式解説」 数学公式 2次曲線(3) 今回は放物線の例題です。 手書きの説明 次回は楕円の方程式の説明です。 受験や学習に対する質問は、お問い合わせフォームからお気軽にどうぞ♪答えられる限り、答えます! 富岡市の総合学習塾トータルアカデミーtotal-academy.net 〒370-2344群馬県富岡市黒川1807-16 TEL:0274-63-8132 ≪Next 小5算数 宿題 Prev≫ 高尾山への登山 その1 一覧へ戻る お問い合わせはこちら 0274-63-8132 Webでお問い合わせ