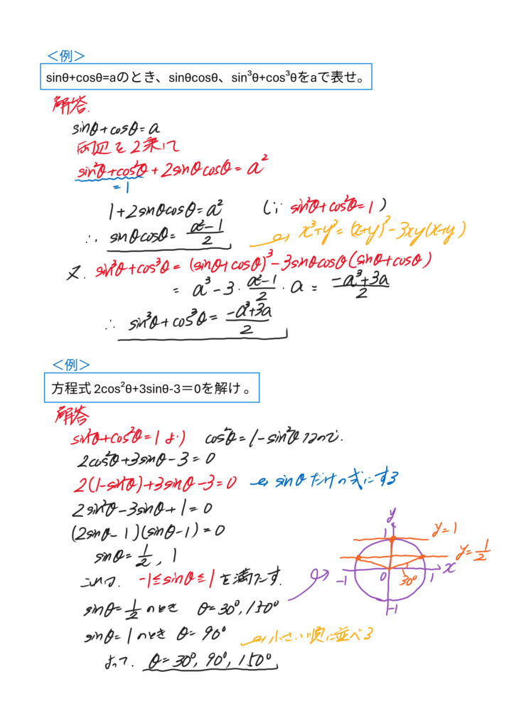
ツイート 2026年4月28日 カテゴリ ぽんすけの「数物化の公式解説」 数学公式 三角比(3) 今回は三角比の定義と相互関係の例題です。三角方程式はsinθだけ、又はcosθだけの式にするのがコツです。 手書きの説明 次回も三角比の続きです。正弦定理・余弦定理についてです。 受験や学習に対する質問は、お問い合わせフォームからお気軽にどうぞ♪答えられる限り、答えます! 富岡市の総合学習塾トータルアカデミーtotal-academy.net 〒370-2344群馬県富岡市黒川1807-16 TEL:0274-63-8132 ≪Next 三角比(4) Prev≫ 学習塾Total Academyの写真② 一覧へ戻る お問い合わせはこちら 0274-63-8132 Webでお問い合わせ