- カテゴリ
まずは、前回の物理(万有引力)の解説から!
前回の問題 物理(万有引力)
<問題>
<ヒント>
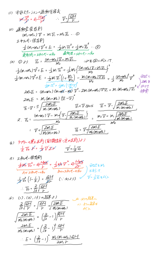
(1)運動方程式から求めましょう。
(3)(2)の連立方程式を解きましょう。
(4)ケプラーの第2法則(面積速度一定の法則)を利用しましょう。
(5)点Aと点Bでの人工衛星のエネルギー保存則を考えましょう。
(6)(3)と(5)の結果を利用しましょう。
<解答>
(3)の計算が面倒ですが、頑張って行いましょう。物理は計算力が必要です。物理の計算は数学にも活かされます。自分の手をカリカリと動かして、計算ができるようにしましょう。
今週の問題 化学(気体)
<問題>
|
以下の問いに有効数字2桁で答えよ。ただし、60℃、90℃における飽和水蒸気圧はそれぞれ2.0×104Pa、7.0×104Pa、原子量はH=1、O=16、気体定数は8.31×103Pa・L/(mol・K)とする。 (1)体積10Lの容器Aを真空にして、水3.6gを入れ、容器内の温度を90℃に保ったときの容器A内の圧力を求めよ。 (2)(1)の状態から温度を下げ、60℃にした。このとき、容器A内で液体として存在する水の質量を求めよ。 (3)20℃で容器Aに乾燥した空気を満たして、5.0×104Paにした。次に水3.6gを入れ、容器内の温度を60℃に保った。このときの容器A内の圧力を求めよ。 |
<ヒント>
(1)理想気体の状態方程式から、水が全て気体として存在する場合の圧力を求め、それと飽和蒸気圧との大小を比較する。
(2)理想気体の状態方程式から、気体として存在する水の質量を求める。
(3)ドルトンの分圧の法則より、空気の分圧と気体としての水の分圧の和を求める。
学習や進路に対する質問等は、お気軽に問い合わせフォームからどうぞ。お待ちしています。



