- カテゴリ
まずは、前回の数学(複素数平面)の解説から!
前回の問題 数学(複素数平面)
<問題>
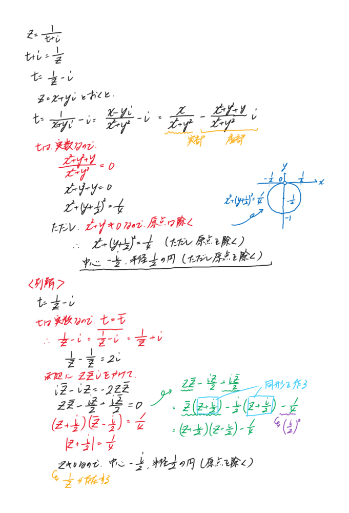
|
複素数Zと実数tとの間にZ=1/(t+i)の関係がある。tが全ての実数をとって変わるとき、点zの軌跡を求めよ。 |
<ヒント>
与式からt=〇の形に変形し、tが実数であることからtとtの共役な複素数が等しいという関係からzの式を求めましょう。但し、分母の0は禁止だということも気を付けて下さいね。
<解答>
別解の解き方でもどちらでもOKです。只、分母の0は禁止ということは、いつでの念頭に置きましょう。
今週の問題 物理(万有引力)
<問題>
|
2つの天体A,Bがあり、互いに影響し合わない距離にある。A,Bともに球体で密度は一様である。又、公転や自転の影響は無視してよいものとする。天体A,Bの質量と半径をそれぞれMA,MB,RA,RBとする。 (1)天体A,Bの表面で自由落下する物体の加速度をそれぞれgA,gBとする。gA/gBの比を求めよ。 (2)天体A,Bの表面での単振子の周期の比TA/TBの比を求めよ。 (3)天体A,Bの表面すれすれの円軌道を描く人工衛星の周期の比tA/tBの比を求めよ。 |
<ヒント>
(1)万有引力の法則からgAとgBを求めましょう。(2)(3)は運動方程式を立てて考えましょう。
学習や進路に対する質問等は、お気軽に問い合わせフォームからどうぞ。お待ちしています。
お問い合わせはこちら


