- カテゴリ
まずは、前回の物理(万有引力)の解説から!
前回の問題 物理(万有引力)
<問題>
|
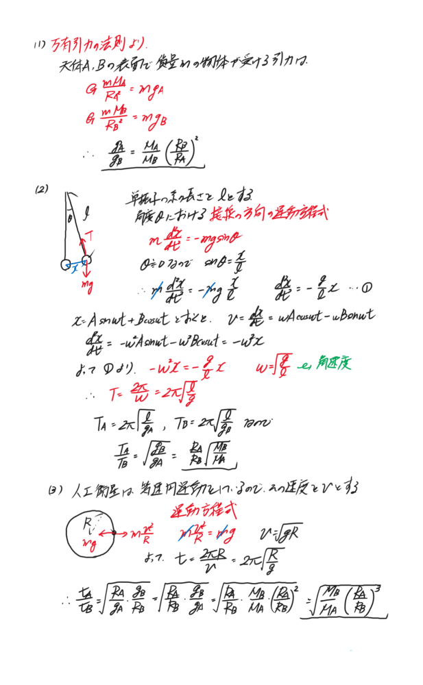
2つの天体A,Bがあり、互いに影響し合わない距離にある。A,Bともに球体で密度は一様である。又、公転や自転の影響は無視してよいものとする。天体A,Bの質量と半径をそれぞれMA,MB,RA,RBとする。 (1)天体A,Bの表面で自由落下する物体の加速度をそれぞれgA,gBとする。gA/gBの比を求めよ。 (2)天体A,Bの表面での単振子の周期の比TA/TBの比を求めよ。 (3)天体A,Bの表面すれすれの円軌道を描く人工衛星の周期の比tA/tBの比を求めよ。 |
<ヒント>
(1)万有引力の法則からgAとgBを求めましょう。(2)(3)は運動方程式を立てて考えましょう。
<解答>
単振子の周期は、接線方向の運動方程式から導くこともおさえておいてくださいね。
今週の問題 化学(無機化学)
<問題>
|
硫酸は工業的には以下の様に製造される。 ①硫黄を燃焼させて二酸化硫黄をつくる。 ②酸化バナジウム(Ⅴ)を(㋐)として、二酸化硫黄を空気酸化して三酸化硫黄にする。 ③三酸化硫黄を濃硫酸に吸収させ発煙硫酸とし、これを希硫酸で薄めて濃硫酸とする。 こうような製法を(㋑)という。 (1)(㋐)と(㋑)に適する語を記せ。 (2)①と②の化学反応式を記せ。 (3)濃硫酸から希硫酸を調整する方法を記せ。 (4)次の(a)~(g)の試薬の組合せによる化学反応式を記せ。 (a)亜硫酸ナトリウムに希硫酸を加えた。 (b)亜鉛に希硫酸を加えた。 (c)硫化鉄(Ⅱ)に希硫酸を加えた。 (d)塩化ナトリウムに濃硫酸を加えた。 (e)銅に濃硫酸を加えた。 (f)蛍石(CaF2)に濃硫酸を加えて加熱した。 (g)ギ酸に濃硫酸を加えて加熱した。 |
<ヒント>
硫酸の製法と性質を思い出しましょう。そうすれば何とかなるはずです。
学習や進路に対する質問等は、お気軽に問い合わせフォームからどうぞ。お待ちしています。


